New model

  • Author: Fang Zhang
  • Date: 2016.10.13
  • E-mail: fza34@sfu.ca

New model

In this model, removed patient has probability to be replaced by an unresistant patient. (Regard it as a healthy people gets transmitted). If resistant ratio stays steady around 10%, removal rate should be equal to 9(resistant rate and transmission rate). The probability of replacing a removed patient (substitution rate) should be 9/19. Considering it needs time to get to 10%, these ratio are smoothed.

Parameters

  • generation = 12
  • Time span = 120
  • resistant rate = 0.004
  • reinfect rate = 0.005
  • removal rate = 0.05
  • substitution rate = 0.75

Result

20 generation simulation

In this simulation, population in initialized at around 1 million (20 generation). Other parameters are below:

  • generation = 12
  • Time span = 100
  • resistant rate = 0.004
  • reinfect rate = 0.005
  • removal rate = 0.05
  • substitution rate = 0.75

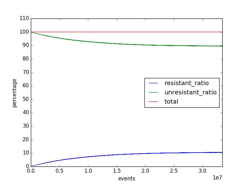
The population was sampled every 1000 events. This picture shows that the resistant ratio is steady around 10% with these parameters by using this simulation model.

20 generation simulation

  • sampling 0.001
  1. hamming distance

  2. GTR distance

  • sampling 0.01

  • 1000 samples GTR distance

  • TB90

  1. hamming distance

  2. GTR distance

  • Distance between TB90 and 1000 samples.

Jmodeltest

  • sample 0.001

::Best Models::

Model       f(a)    f(c)    f(g)    f(t)    kappa   titv    Ra  Rb  Rc  Rd  Re  Rf  pInv    gamma

AIC GTR+I+G 0.25 0.25 0.25 0.25 0.00 0.00 0.985 1.002 0.937 1.018 0.994 1.000 0.07 99.84

  • TB90

::Best Models::

Model       f(a)    f(c)    f(g)    f(t)    kappa   titv    Ra  Rb  Rc  Rd  Re  Rf  pInv    gamma

AIC GTR+I+G 0.20 0.31 0.30 0.19 0.00 0.00 1.157 3.535 0.461 0.708 3.355 1.000 0.00 3.43


In [ ]:


In [ ]:


In [ ]: